1376. Time Needed to Inform All Employees
Description
**Input:** n = 1, headID = 0, manager = [-1], informTime = [0]
**Output:** 0
**Explanation:** The head of the company is the only employee in the company.
ac
Last updated
**Input:** n = 1, headID = 0, manager = [-1], informTime = [0]
**Output:** 0
**Explanation:** The head of the company is the only employee in the company.
Last updated
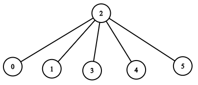
**Input:** n = 6, headID = 2, manager = [2,2,-1,2,2,2], informTime = [0,0,1,0,0,0]
**Output:** 1
**Explanation:** The head of the company with id = 2 is the direct manager of all the employees in the company and needs 1 minute to inform them all.
The tree structure of the employees in the company is shown.**Input:** n = 7, headID = 6, manager = [1,2,3,4,5,6,-1], informTime = [0,6,5,4,3,2,1]
**Output:** 21
**Explanation:** The head has id = 6. He will inform employee with id = 5 in 1 minute.
The employee with id = 5 will inform the employee with id = 4 in 2 minutes.
The employee with id = 4 will inform the employee with id = 3 in 3 minutes.
The employee with id = 3 will inform the employee with id = 2 in 4 minutes.
The employee with id = 2 will inform the employee with id = 1 in 5 minutes.
The employee with id = 1 will inform the employee with id = 0 in 6 minutes.
Needed time = 1 + 2 + 3 + 4 + 5 + 6 = 21.**Input:** n = 15, headID = 0, manager = [-1,0,0,1,1,2,2,3,3,4,4,5,5,6,6], informTime = [1,1,1,1,1,1,1,0,0,0,0,0,0,0,0]
**Output:** 3
**Explanation:** The first minute the head will inform employees 1 and 2.
The second minute they will inform employees 3, 4, 5 and 6.
The third minute they will inform the rest of employees.**Input:** n = 4, headID = 2, manager = [3,3,-1,2], informTime = [0,0,162,914]
**Output:** 1076