1761. Minimum Degree of a Connected Trio in a Graph
https://leetcode.com/problems/minimum-degree-of-a-connected-trio-in-a-graph
Description
You are given an undirected graph. You are given an integer n
which is the number of nodes in the graph and an array edges
, where each edges[i] = [ui, vi]
indicates that there is an undirected edge between ui
and vi
.
A connected trio is a set of three nodes where there is an edge between every pair of them.
The degree of a connected trio is the number of edges where one endpoint is in the trio, and the other is not.
Return the minimum degree of a connected trio in the graph, or -1
if the graph has no connected trios.
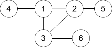
Example 1:

**Input:** n = 6, edges = [[1,2],[1,3],[3,2],[4,1],[5,2],[3,6]]
**Output:** 3
**Explanation:** There is exactly one trio, which is [1,2,3]. The edges that form its degree are bolded in the figure above.
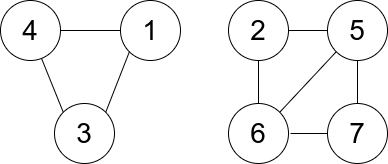
Example 2:

**Input:** n = 7, edges = [[1,3],[4,1],[4,3],[2,5],[5,6],[6,7],[7,5],[2,6]]
**Output:** 0
**Explanation:** There are exactly three trios:
1) [1,4,3] with degree 0.
2) [2,5,6] with degree 2.
3) [5,6,7] with degree 2.
Constraints:
2 <= n <= 400
edges[i].length == 2
1 <= edges.length <= n * (n-1) / 2
1 <= ui, vi <= n
ui != vi
There are no repeated edges.
ac
Last updated
Was this helpful?