1462. Course Schedule IV
https://leetcode.com/problems/course-schedule-iv
Description
There are a total of numCourses courses you have to take, labeled from 0 to numCourses - 1. You are given an array prerequisites where prerequisites[i] = [ai, bi] indicates that you must take course ai first if you want to take course bi.
For example, the pair
[0, 1]indicates that you have to take course0before you can take course1.
Prerequisites can also be indirect. If course a is a prerequisite of course b, and course b is a prerequisite of course c, then course a is a prerequisite of course c.
You are also given an array queries where queries[j] = [uj, vj]. For the jth query, you should answer whether course uj is a prerequisite of course vj or not.
Return a boolean array answer, where answer[j] is the answer to the jth query.
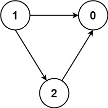
Example 1:

Example 2:
Example 3:

Constraints:
2 <= numCourses <= 1000 <= prerequisites.length <= (numCourses * (numCourses - 1) / 2)prerequisites[i].length == 20 <= ai, bi <= n - 1ai != biAll the pairs
[ai, bi]are unique.The prerequisites graph has no cycles.
1 <= queries.length <= 1040 <= ui, vi <= n - 1ui != vi
ac
Last updated