0333. Largest BST Subtree
Description
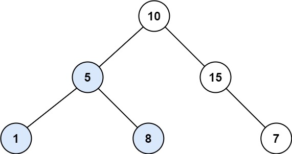
**Input:** root = [10,5,15,1,8,null,7]
**Output:** 3
**Explanation:** The Largest BST Subtree in this case is the highlighted one. The return value is the subtree's size, which is 3.**Input:** root = [4,2,7,2,3,5,null,2,null,null,null,null,null,1]
**Output:** 2ac
Last updated
