1448. Count Good Nodes in Binary Tree
https://leetcode.com/problems/count-good-nodes-in-binary-tree
Description
Given a binary tree root, a node X in the tree is named good if in the path from root to X there are no nodes with a value greater than X.
Return the number of good nodes in the binary tree.
Example 1:

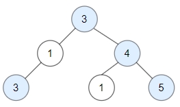
**Input:** root = [3,1,4,3,null,1,5]
**Output:** 4
**Explanation:** Nodes in blue are **good**.
Root Node (3) is always a good node.
Node 4 -> (3,4) is the maximum value in the path starting from the root.
Node 5 -> (3,4,5) is the maximum value in the path
Node 3 -> (3,1,3) is the maximum value in the path.Example 2:

**Input:** root = [3,3,null,4,2]
**Output:** 3
**Explanation:** Node 2 -> (3, 3, 2) is not good, because "3" is higher than it.Example 3:
**Input:** root = [1]
**Output:** 1
**Explanation:** Root is considered as **good**.Constraints:
The number of nodes in the binary tree is in the range
[1, 10^5].Each node's value is between
[-10^4, 10^4].
ac
Last updated
Was this helpful?